隨著科學技術的發展,越來越多的智能可穿戴設備出現在MG不朽情緣的眼前,智能手環,智能眼鏡等層出不窮。智能防丟器也是可穿戴設備家族中的一員,其雖然看起來簡單,但是對于MG不朽情緣生活有著很大的影響,尤其是對于一些記性不是很好的朋友,防丟器就可以很方便的給出提醒。目前防丟器的種類有藍牙智能防丟器,GPS防丟器,RFID防丟器,WIFI防丟器等,本文主要講解藍牙智能防丟器這部分。
1、什么是智能藍牙防丟器?
所謂智能藍牙(SmartBluetooth)防丟器,是采用藍牙技術專門為智能手機設計的防丟器。其工作原理主要是通過距離變化來判斷物品是否還控制在你的安全范圍。主要適用于手機、錢包、鑰匙、行李等貴重物品的防丟,也可用于防止兒童或寵物的走失。防丟器的原理是在手機和藍牙之間建立連接,每15秒自動檢測一次連接狀態,將藍牙放在小孩、寵物的身上,或貴重物品內,一旦藍牙離開手機的距離超過一定范圍,手機即發出報警聲。
2.主要構造
目前市面上用的多,而且比較成熟的產品一般都是采用藍牙4.0的技術,其具有低功耗、雙向防丟、自動報警等優點,就比如MG不朽情緣物里的F6藍牙智能防丟器。現市場上的藍牙防丟器種類繁多,使用的方案各有不同,但大致歸類起來,主要有以下部分:藍牙4.0模塊、天線、蜂鳴器、開關、電源等。
3.藍牙?櫚難≡
要想實現藍牙防丟器,最核心的器件就是藍牙模塊了,所以MG不朽情緣要選取一款價格低廉,體積。牡停啥雀叩睦堆濫?。當然也可以選擇深圳MG不朽情緣物里科技股份有限公司研發的一體板,采用的是Nordic 52系列低功耗藍牙芯片,那樣就不用外貼?椋苯右惶,更好。
4.藍牙BLE實現防丟器
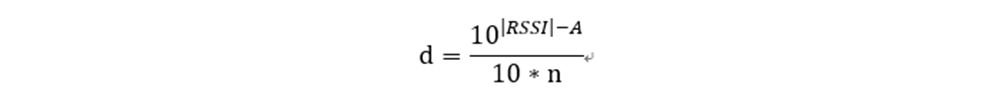
藍牙防丟器的核心原理是根據接收到的藍牙設備端的無線信號強度(RSSI)來估算距離。其計算公式是:
d是計算距離,RSSI是信號強度,A為發射端和接收端相隔1米時的信號強度,n是環境衰減因子。對于不同的藍牙設備該值是不一樣的,同樣的設備在不同的發射功率的情況下其信號強度也是不一樣的,而且對于同是1米的情況下,環境對于信號強度也是有影響的。n是環境衰減因子,自然跟環境有關。所以在確切發射功率的情況下,A和n對于同一款設備來說,也是一個經驗值。另外,藍牙防丟器面向電池應用,所以低功耗必不可少,這時候BLE的優勢就有了。
在實際的防丟器產品中,一般有以下功能:
1. 防丟功能
2. 雙向提醒
3. 拍照功能
4. 一鍵尋物
5. 位置記憶
6. 微信尋找


